编译原理07-parser-II
七、递归下降的LL(1)语法分析器
构建语法分析树:自顶向下 $vs.$ 自底向上
只考虑无二义性的文法
这意味着, 每个句子对应唯一的一棵语法分析树
LL(1)语法分析器的特点
自顶向下的
自顶向下构建语法分析树
根结点是文法的起始符号$S$
每个中间节点表示对某个非终结符应用某个产生式进行推导
$Q: 选择哪个非终结符,以及选择哪个产生式$
叶节点是词法单元流$w$ $
仅包含终结符与特殊的文件结束符$$(EOF)$
每个中间节点表示对某个非终结符应用某个产生式进行推导
$Q:选择哪个非终结符,以及选择哪个产生式$
在推导的每一步,$LL(1)$总是选择最左边的非终结符进行展开
$LL(1):从左向右读入词法单元$
递归下降的
递归下降的典型实现框架
为每一个非终结符写一个递归函数
内部按需调用其它的非终结符对应的递归函数,下降一层
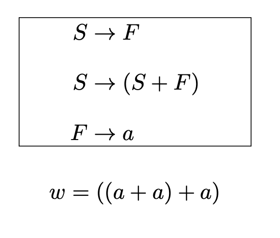
过程演示
每次都选择语法分析树最左边的非终结符进行展开
思考
同样是展开非终结符 S, 为什么前两次选择了 S → (S + F), 而第三次选择了 S → F?
因为它们面对的当前词法单元不同
第一次与第二次展开时,只有第二条会产生小括号
第三次展开时,期望匹配的为a,而第二条会产生小括号,所以选择第一条展开
基于预测分析表的
使用预测分析表确定表达式
指明了每个非终结符在面对不同的词法单元或文件结束符时
该选择哪个产生式 (按编号进行索引) 或者报错 (空单元格)
适用于LL(1)文法的
Definition(LL(1)文法)
对于当前选择的非终结符,仅根据输入中的当前词法单元$LL(1)$即可确定需要使用哪条产生式
示例
再看递归下降中的例子
预测分析表的构建
先看一个例子
基础概念
Definition($FIRST(\alpha)$集合)
$FIRST(\alpha)$是可从$\alpha$推导得到的句型的首终结符号的集合
考虑非终结符A的所有产生式$A \to \alpha_1, \, A \to \alpha_2,\, … ,\, A \to \alpha_3$,如果它们对应的$FIRST(\alpha_i)$集合互不相交,则只需要查看当前输入的词法单元,即可确定选择哪个产生式(或者报错)
Definition($FOLLOW(\alpha)$集合)
$FOLLOW(\alpha)$是可能在某些句型中紧跟在 A 右边的终结符的集合
考虑产生式$A \to \alpha$,如果从$\alpha$可能推导出空串($\alpha \stackrel{\mathrm{*}}{\Rightarrow} \epsilon$),则只有当当前词法单元$t \in FOLLOW(A) $,才可以选择该产生式
如何计算给定文法G的预测分析表
先计算每个符号 $X$ 的 $First(X)$ 集合
再计算每个符号串 $\alpha$ 的 $First(\alpha)$ 集合
例
为每个非终结符 $X$ 计算 $Follow(X)$ 集合
例
根据$First$与$Follow$集合计算给定文法G的预测分析表
Definition($LL(1)$文法)
结论
LL(1)语法分析器
What is LL(0)?
非递归的预测分析算法
非LL(1)文法的处理方法
改造它
- 消除左递归
- 提取左公因式
Example
E在不消耗任何词法单元的情况下,直接递归调用E,造成死循环
改写成“右递归”文法
文件结束符$的用处
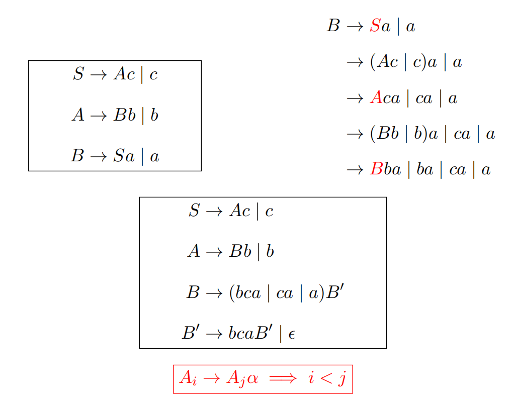
直接左递归(Direct Left Recursion)
拓展为
间接左递归(Indirect Left Recursion)
算法要求
- 文法中不存在环(形如$A \stackrel{\mathrm{*}}{\Rightarrow} A$的推导)
- 文法中不存在$\epsilon$产生式(形如$A \rightarrow \epsilon$的产生式)
提取左公因式(Left-Factoring)
很显然,提取左公因式无助于消除文法二异性


























